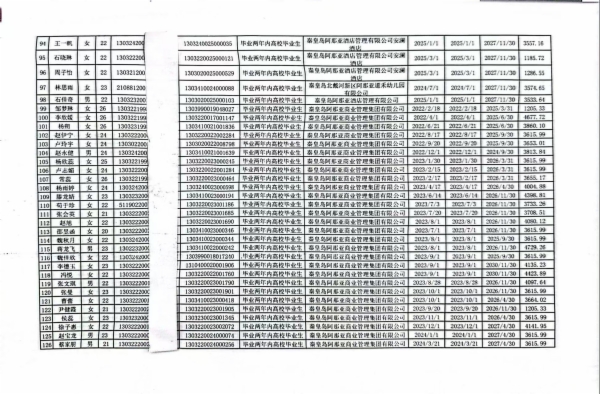
秦皇岛北戴河新区党群工作部拟拨付2025年1月-3月高校毕业生社会保险补贴公示
日期:2026-01-09 10:14:39 来源:
通知公告
12-26
12-15
11-19
11-03
09-25
09-18




